按照学校要求,经德州扑克俱乐部
复试考核,现对德州扑克俱乐部官网
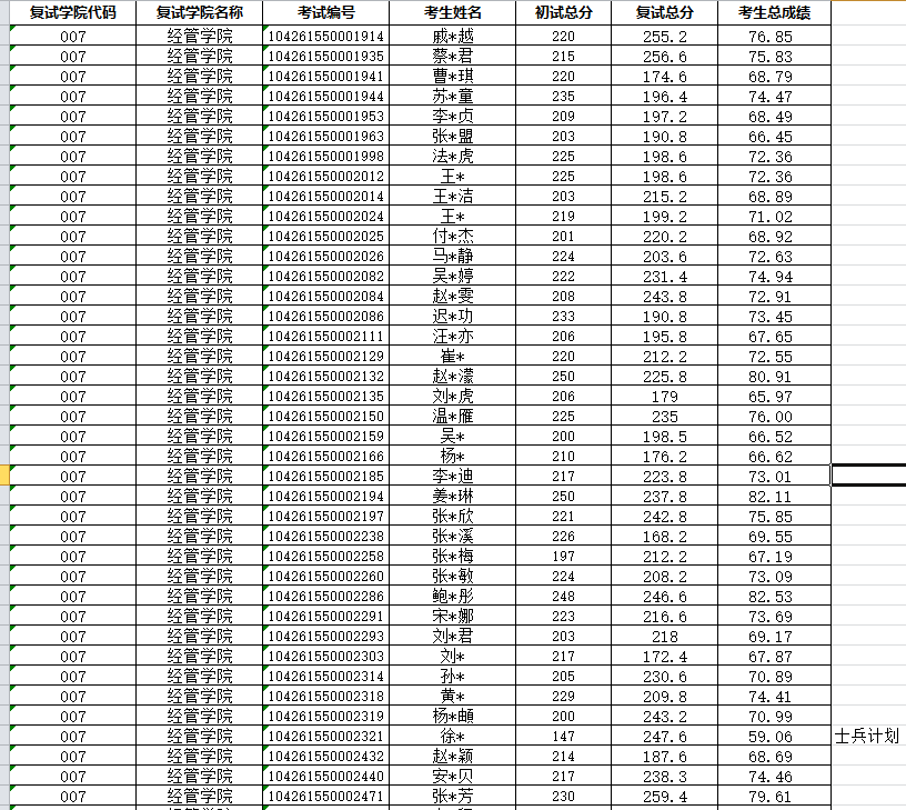
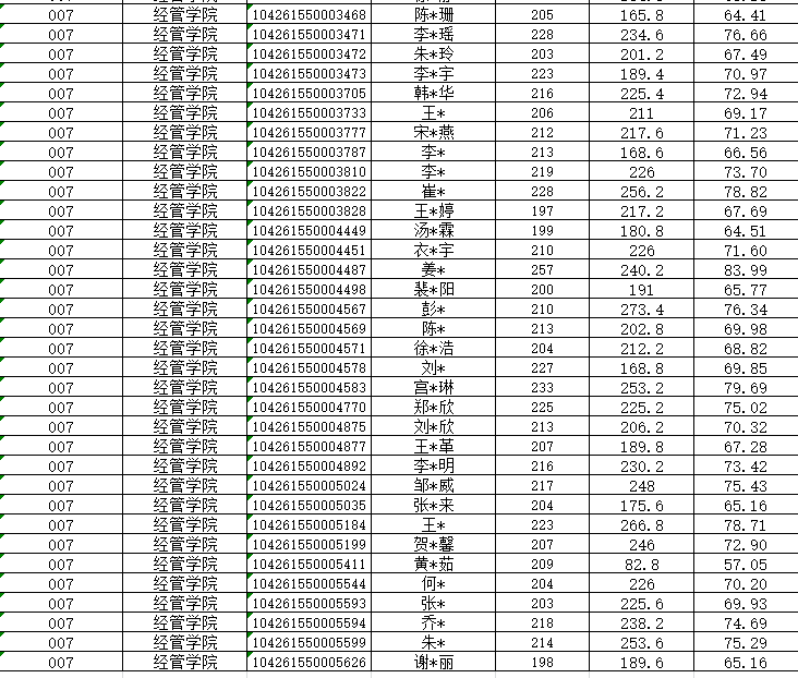
2021年硕士研究生复试成绩予以公示,若对复试成绩有异议,请联系德州扑克俱乐部
。
工程管理(MEM):李老师 0532-88959186
会计专硕:柳老师0532-88959202
工商管理硕士(MBA):马老师 0532-88956657
研究生招生办公室:0532-88957382
德州扑克俱乐部官网
2021年3月29日
2021级工程管理专硕复试成绩公示

2021级工商管理专硕复试成绩公示


2021级会计硕士专硕复试成绩公示



|
|
|
|